English
すべて
検索
画像
動画
地図
ニュース
さらに表示
ショッピング
フライト
旅行
ノートブック
不適切なコンテンツを報告
以下のいずれかのオプションを選択してください。
関連なし
攻撃的
成人向け
子供への性的嫌がらせ
長さ
すべて
短 (5 分未満)
中 (5-20 分)
長 (20 分以上)
日付
すべて
直近 24 時間
1 週間以内
1 か月以内
1 年以内
解像度
すべて
360p 未満
360 ピクセル以上
480 ピクセル以上
720 ピクセル以上
1,080 ピクセル以上
ソース
すべて
ニコニコ動画
Yahoo
MSN
Dailymotion
アメーバ
ビッグローブ
価格
すべて
無料
有料
フィルターのクリア
セーフ サーチ:
中
厳しい
標準 (既定)
オフ
フィルター
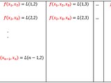
Write the Divided Difference table for the following values:|... | Filo
4 か月前
askfilo.com
divided: 定義と使用法を探る | RedKiwi Words
2023年9月5日
redkiwiapp.com
Newton’s Divided Difference Interpolation
2021年8月14日
mathworks.com
How to Easily Draw a Divided Difference Table
視聴回数: 3757 回
2022年5月4日
YouTube
Mathematics Can Smile Academy
Mastering Division Facts for the 2 Times Table Differentiated Workshee
…
2018年1月19日
twinkl.ie
6.3.4-Numerical Differentiation: Higher-Order Finite Divided Differenc
…
視聴回数: 1.5万 回
2013年9月20日
YouTube
Jacob Bishop
20:19
Interpolation - Newton's Divided differences - Basics
視聴回数: 3.7万 回
2017年10月30日
YouTube
The Math Guy
Second Order Divided Difference Interpolation Example | Numerical M
…
視聴回数: 1.1万 回
2022年11月22日
YouTube
StudySession
Interpolation - Newton's Divided Difference Formula In Hindi (Lecture
…
視聴回数: 59.6万 回
2016年5月14日
YouTube
Bhagwan Singh Vishwakarma
Divided Difference Table || Table Construction || Numerical Methods
視聴回数: 1.3万 回
2021年4月26日
YouTube
Solve It
Find Error using Difference Table|Effect of Error in a Tabular valu
…
視聴回数: 3万 回
2020年8月16日
YouTube
Mathematics For UG-PG Classes
19:52
Newton's Divided Difference Interpolation: Introduction
視聴回数: 7823 回
2019年7月9日
YouTube
Maths with Dr. Brajesh Kumar Jha
Newton's Divided Difference for Numerical Interpolation using MATL
…
2019年3月14日
matlabcoding.com
56:31
【差和分と母関数】交代級数の公式、ライプニッツとホイヘンスの数学
…
視聴回数: 525 回
2022年10月13日
YouTube
MT 数学・数学史
6:22
数Ⅰデータの分析⑭分割表
視聴回数: 2743 回
2022年10月31日
YouTube
数学ハイスクール【ハママス】
4:07
【理系】ピザを切り分ける方法を考えた
視聴回数: 31.7万 回
2020年11月14日
YouTube
ラムダ技術部
23:29
【 DIVISION2 】ディビジョン2 製品版はこんなゲーム!細部を紹介。ア
…
視聴回数: 8万 回
2019年3月12日
YouTube
ユニバーUniver
差分の意味とは?数学・IT業界・ビジネスでの使い方と類語・対義語・
…
2021年11月24日
bzlog.net
55:29
MATLAB Code for Divided-Differences and Differences | Lecture 6
視聴回数: 2145 回
2020年6月3日
YouTube
Prof. Dr. Sirajul Haq
10:26
Dividing Fractions
視聴回数: 46.9万 回
2018年4月14日
YouTube
The Organic Chemistry Tutor
2:22
Long Division
視聴回数: 275.7万 回
2011年4月13日
YouTube
KeystoneTests.com
11:34
Long Division - Corbettmaths
視聴回数: 15.1万 回
2020年5月22日
YouTube
corbettmaths
11:09
Basic Division Explained!
視聴回数: 116万 回
2018年5月17日
YouTube
The Organic Chemistry Tutor
12:24
Divided Difference Table & Example
視聴回数: 5469 回
2020年6月7日
YouTube
Reindolf Boadu
6:11
Division by Decimals - Corbettmaths
視聴回数: 23万 回
2013年2月14日
YouTube
corbettmaths
4:56
Division Tables 1 | Jack Hartmann
視聴回数: 10.4万 回
2022年7月11日
YouTube
Jack Hartmann Kids Music Channel
5:12
Area Model for Division
視聴回数: 53.9万 回
2017年10月19日
YouTube
Dawne Coker
16:52
Division Tables 1 to 20
視聴回数: 4.9万 回
2021年10月26日
YouTube
Abakada Planet
8:59
Division Tables 1-10 | Division Table
視聴回数: 33.5万 回
2021年1月14日
YouTube
Abakada Planet
9:23
construct Divided Difference Table |Numerical Analysis
視聴回数: 25 回
2023年5月19日
YouTube
shabest online Tutorial
その他のビデオを表示する
これに似たものをもっと見る
フィードバック