D'fhéadfaí na grianghraif a chuir tú ar fáil a úsáid chun seirbhísí Bing phróiseáil íomhánna a fheabhsú.
Polasaí príobháideachais
|
Téarmaí Úsáide
Ní féidir an nasc seo a úsáid. Seiceáil go dtosaíonn do nasc le 'http://' nó 'https://' chun triail eile a bhaint as.
Ní féidir an cuardach seo a phróiseáil. Bain triail as íomhá nó as eochairfhocail eile.
Bain triail as Cuardach Amharc
Cuardaigh, aithin oibiachtaí agus téacs, aistrigh nó réitigh fadhbanna le híomhá
Tarraing íomhá amháin nó níos mó anseo,
uaslódáil íomhá
nó
oscail an ceamara
Scaoil íomhánna anseo chun do chuardach a thosú
Chun Cuardach Físiúil a úsáid, cumasaigh an ceamara sa bhrabhsálaí seo
日本語
Gach rud
Cuardach
Íomhánna
Inspioráid
Cruthaigh
Bailiúcháin
Físeáin
Mapaí
Nuacht
Tuilleadh
Siopadóireacht
Eitiltí
Taisteal
Nótaleabhar
Uathsheinn gach GIFanna
Athraigh uathsheinn agus socruithe íomhá eile anseo
Uathsheinn gach GIFanna
Smeach an lasc chun iad a chasadh air
GIFanna uathsheachadta
Méid íomhá
Gach ceann
Beag
Meánach
Mór
Ollmhór
Ar a laghad... *
Leithead Saincheaptha
x
Airde Saincheaptha
px
Iontráil uimhir do Leithead agus Airde
Dath
Gach ceann
Dath amháin
Dubh & bán
Cineál
Gach ceann
Grianghraf
Fáisc-ealaín
Líníocht le líne
GIF beochana
Trédhearcach
Leagan amach
Gach ceann
Cearnóg
Leathan
Ard
Daoine
Gach ceann
Aghaidheanna amháin
Ceann &barainní
Dáta
Gach ceann
Le 24 uair an chloig anuas
Le seachtain anuas
Le mí anuas
Le bliain anuas
Ceadúnas
Gach ceann
Gach Creative Commons
Fearann poiblí
Saor in aisce le comhroinnt agus úsáid
Saor in aisce a roinnt agus a úsáid ar bhonn tráchtála
Saor in aisce chun rudaí a mhionathrú, a chomhroinnt agus a úsáid
Saor in aisce chun rudaí a mhionathrú, a chomhroinnt agus a úsáid ar bhonn tráchtála
Tuilleadh faisnéise
Scagairí a ghlanadh
SafeSearch:
Meánach
Docht
Measartha (réamhshocraithe)
As
Scag
900×409
directgraphix.com
Variable Data - Direct Graphix
1200×628
fity.club
Direct Relationship Graph
442×442
fity.club
Direct Relationship Graph
507×360
fity.club
Direct Graph Example
1152×720
ar.inspiredpencil.com
Direct Graph
1065×492
ar.inspiredpencil.com
Direct Graph
700×340
ar.inspiredpencil.com
Direct Graph
3400×2013
ar.inspiredpencil.com
Direct Graph
450×194
ar.inspiredpencil.com
Direct Graph
771×781
ar.inspiredpencil.com
Direct Graph
1922×984
ar.inspiredpencil.com
Direct Graph
1200×630
news.bensbites.com
ScrapeGraphAI: Web scraping using LLM and direct graph logic - Bens Bites
843×1001
ar.inspiredpencil.com
Direct Relationship Graph
840×827
ar.inspiredpencil.com
Direct Relationship Graph
1166×614
ar.inspiredpencil.com
Direct Relationship Graph
983×568
ar.inspiredpencil.com
Direct Relationship Graph
748×875
chegg.com
Solved (e) Decide whet…
583×178
researchgate.net
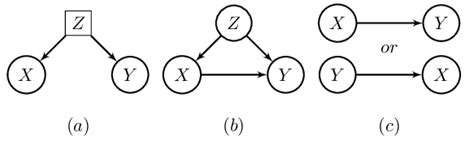
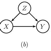
(a) Latent Graph, (b) Triangle Graph, and (c) Direct Graph. | Download ...
178×178
researchgate.net
(a) Latent Graph, (b) Triangle Gr…
550×130
directgraphix.com
What Is Offset Printing? Everything Beginners Should Know
460×357
researchgate.net
(d). 13-node direct graph. | Download Scientific Diagram
640×640
researchgate.net
Steps from direct graph to skeleton minimal graph. | Downl…
429×429
researchgate.net
direct graph ( Ghazali & Murata, 2011) | Download Scientific Diag…
612×475
researchgate.net
(c). Connections of the direct graph. | Download Scientific Diagram
1920×1080
destructoid.com
A Nintendo Direct Partner Showcase arrives this week
310×574
stackoverflow.com
javascript - Custom direct …
1200×675
charlotte-blogleon.blogspot.com
Which Graph Represents a Direct Variation
1600×900
ibrahimhasnat.com
Graph Overview | Data Structure - Ibrahim Hasnat
800×450
dreamstime.com
Chart of Direct Current and Alternating Current, Alternating Current ...
3400×2035
scaler.in
Directed Graph - Scaler Blog
3400×2019
scaler.in
Directed Graph - Scaler Blog
640×640
researchgate.net
Example of label dependencies in multi-l…
1047×1281
chegg.com
Solved In C++, make a weighted direct grap…
1024×339
istockphoto.com
Vector Graph Or Chart Of Direct Current And Alternating Current Direct ...
1300×1362
alamy.com
graph showing the variation of current with t…
Tá roinnt torthaí folaithe toisc go bhfuil seans ann nach bhfuil siad inrochtana agat.
Taispeáin torthaí dorochtana
Tuairiscigh inneachar mí-oiriúnach
Roghnaigh ceann de na roghanna thíos.
Neamhábhartha
Maslach
Duine fásta
Mí-Úsáid Ghnéasach Leanaí
Aiseolas