The photos you provided may be used to improve Bing image processing services.
Privacy Policy
|
Terms of Use
Can't use this link. Check that your link starts with 'http://' or 'https://' to try again.
Unable to process this search. Please try a different image or keywords.
Try Visual Search
Search, identify objects and text, translate, or solve problems using an image
Drag one or more images here,
upload an image
or
open camera
Drop images here to start your search
To use Visual Search, enable the camera in this browser
All
Search
Images
Inspiration
Create
Collections
Videos
Maps
News
Copilot
More
Shopping
Flights
Travel
Notebook
Top suggestions for Flow Data Expression
Data Flow
Design
Data Flow
Program
How to Make a
Data Flow Diagram
Data Flow
Visual
Process and
Data Flow
Data Flow
Symbols
Data Flow
Dig
Microsoft
Data Flow
Expression Data
Data
Management Flow
Data Flow
Shapes
Automatic
Data Flow
01
Data Flow
Data Flow
Model
Product
Data Flow
Data Flow
Document
Data Flow
Chart
Data Flow
Comment
Data Flow
Interactive
Data Flow
Example
Data Flow
DIA
Data Flow
Diagram Types
Data
Source Flow
Data
Auto Flow
HTTP
Data Flow
Data Flow
Studio
Data Flow
Mapping
Data Flow
Strategy
Data
Floww
Data Flow
Table
Create a
Data Flow Diagram
Data Flow
Condition
Smooth
Data Flow
Expression Builder
Data Flow
Data Flow
Many User
Data Flow
Operators
Data Flow
Report
Data Flow
Di
Data Flow
in a Company
Data Flow
Documentation
Website
Data Flow
If
Data Flow
Data Flow
Picutre
Manage
Data Flow
Application
Data Flow
Data
Delivery Flow
Make Data Flow
More Livable
Data Flow
Matrix
Data Flow
Description
Data Flow
in Data Platform
Explore more searches like Flow Data Expression
During
Gene
Date
String
Chart
Simplify
Related
Pressure
Cytometry
Positive
Cytometry for Detecting
Antigen
Chart for Decreasing
Gene
Chart How
Simplify
Information
Gene
Chart Nervous
System Gene
Autoplay all GIFs
Change autoplay and other image settings here
Autoplay all GIFs
Flip the switch to turn them on
Autoplay GIFs
Image size
All
Small
Medium
Large
Extra large
At least... *
Customized Width
x
Customized Height
px
Please enter a number for Width and Height
Color
All
Color only
Black & white
Type
All
Photograph
Clipart
Line drawing
Animated GIF
Transparent
Layout
All
Square
Wide
Tall
People
All
Just faces
Head & shoulders
Date
All
Past 24 hours
Past week
Past month
Past year
License
All
All Creative Commons
Public domain
Free to share and use
Free to share and use commercially
Free to modify, share, and use
Free to modify, share, and use commercially
Learn more
Clear filters
SafeSearch:
Moderate
Strict
Moderate (default)
Off
Filter
Data Flow
Design
Data Flow
Program
How to Make a
Data Flow Diagram
Data Flow
Visual
Process and
Data Flow
Data Flow
Symbols
Data Flow
Dig
Microsoft
Data Flow
Expression Data
Data
Management Flow
Data Flow
Shapes
Automatic
Data Flow
01
Data Flow
Data Flow
Model
Product
Data Flow
Data Flow
Document
Data Flow
Chart
Data Flow
Comment
Data Flow
Interactive
Data Flow
Example
Data Flow
DIA
Data Flow
Diagram Types
Data
Source Flow
Data
Auto Flow
HTTP
Data Flow
Data Flow
Studio
Data Flow
Mapping
Data Flow
Strategy
Data
Floww
Data Flow
Table
Create a
Data Flow Diagram
Data Flow
Condition
Smooth
Data Flow
Expression Builder
Data Flow
Data Flow
Many User
Data Flow
Operators
Data Flow
Report
Data Flow
Di
Data Flow
in a Company
Data Flow
Documentation
Website
Data Flow
If
Data Flow
Data Flow
Picutre
Manage
Data Flow
Application
Data Flow
Data
Delivery Flow
Make Data Flow
More Livable
Data Flow
Matrix
Data Flow
Description
Data Flow
in Data Platform
1024×768
slideserve.com
PPT - Data Flow Analysis PowerPoint Presentation, free d…
700×600
naukri.com
Foundations Of Data Flow Analysis In Compiler Design - Naukri Code 360
1024×768
SlideServe
PPT - Lecture 6 Data Flow Modeling PowerPoint Presentation, free ...
1024×768
SlideServe
PPT - Data Flow Analysis 1 15-411 Compiler Design PowerPoint ...
Related Products
Data Flow Diagrams
Data Flow Books
Data Flow Book
1024×768
slideserve.com
PPT - Comprehensive Guide to Data Flow Analysis and Optimiza…
1024×768
slideserve.com
PPT - Data Flow Analysis PowerPoint Presentation, free do…
1050×557
blog.csdn.net
【软件分析/静态分析】chapter3 课程03/04 数据流分析的应用(Data Flow Analysis)_available ...
1024×768
SlideServe
PPT - Getting Started in Program Analysis Research: Outline PowerPoint ...
553×985
researchgate.net
A data flow expression for …
1200×1116
venngage.com
Data Flow Diagram: What Is It, Examples & How to Create One - Venngage
1024×768
SlideServe
PPT - Lecture 6 Data Flow Modeling PowerPoint Presentation, free ...
Explore more searches like
Flow
Data
Expression
During Gene
Date String
Chart Simplify
Related Pressure
Cytometry Positive
Cytometry for Detecting Anti
…
Chart for Decreasing Ge
…
Chart How Simplify
Information Gene
Chart Nervous System Gene
3792×2796
boardmix.com
5 Essential Steps for Creating Effective Flowcharts
1229×520
blog.csdn.net
【软件分析/静态分析】chapter3 课程03/04 数据流分析的应用(Data Flow Analysis)_available ...
1024×768
slideserve.com
PPT - CS 201 Compiler Construction PowerPoint Presen…
1157×794
blog.csdn.net
【软件分析/静态分析】chapter3 课程03/04 数据流分析的应用(Data Flo…
960×720
stewart-switch.com
10 Data Flow Diagram Examples for Visualizing Information Flow
1614×841
learn.microsoft.com
Expression builder in mapping data flows - Azure Data Factory & Azure ...
1024×768
slideplayer.com
Chapter 3 Systems Documentation Techniques …
1024×768
slideserve.com
PPT - Data Flow Analysis PowerPoint Presentation, fre…
1024×768
SlideServe
PPT - Introduction to Data Flow Graphs and their Scheduling Po…
1024×768
SlideServe
PPT - Data Flow Analysis 1 15-411 Compiler Desig…
516×255
brainkart.com
Introduction to Data-Flow Analysis
2000×900
sumantabiswas24.blogspot.com
A Beginner's Guide to Data Flow Diagrams
1024×768
electraschematics.com
Visualizing the Flow of Data: Unveiling a Data Flow Diagram
1999×1333
stiliem.com
A Beginner's Guide to Data Flow Diagrams - Stiliem.com
439×304
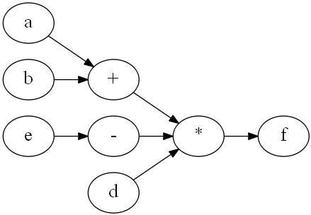
researchgate.net
Data-flow graph representing the expression f = (a + b)*(−e)*d ...
1024×768
datavisualexpert.com
Mapping the Flow: Understanding a Data Flow Diagram
1024×768
electraschematics.com
Visualizing the Flow of Data: Unveiling a Data Flow Diagram
1014×441
slideteam.net
Top 7 Data Flow Diagram Templates with Samples and Examples
1590×1033
diagramniskamalkw.z21.web.core.windows.net
Data Flow Diagram With Example Data Flow Diagram Examples Sy
791×1024
venngage.com
Data Flow Diagram: What I…
1703×966
learn.microsoft.com
Expression builder in mapping data flows - Azure Data Factory & Azure ...
1050×789
storage.googleapis.com
What Is Data Flow Model In Software Engineering at Tyler Mckinley blog
1657×927
Lucidchart
Data Flow Diagram Examples Symbols, Types, and Tips | Lucidchart
600×325
researchgate.net
Flow diagram of data processing. The difference expression of three ...
Some results have been hidden because they may be inaccessible to you.
Show inaccessible results
See more images
Recommended for you
Sponsored
Report an inappropriate content
Please select one of the options below.
Not Relevant
Offensive
Adult
Child Sexual Abuse
Feedback