The photos you provided may be used to improve Bing image processing services.
Privacy Policy
|
Terms of Use
Can't use this link. Check that your link starts with 'http://' or 'https://' to try again.
Unable to process this search. Please try a different image or keywords.
Try Visual Search
Search, identify objects and text, translate, or solve problems using an image
Drag one or more images here,
upload an image
or
open camera
Drop images here to start your search
To use Visual Search, enable the camera in this browser
All
Search
Images
Inspiration
Create
Collections
Videos
Maps
News
More
Shopping
Flights
Travel
Notebook
Top suggestions for What Is Expression Tree
What Is
a Math Expression
What Is
a Variable Expression
Expression
Math Example
What Is
Equation and Expression
Expression
Meaning Algebra
Expression
Math Term
What Is
a Mathematical Expression
Math Algebraic
Expression
Algebraic Expression
Definition Math
Numerical Expression
Definition
Expression
Symbol Math
Parts of an
Expression
Expression
V Equation
What Is
Mean in Math
What Is
a Value Expression
Formula vs
Expression
Expression
versus Equation
What Does Expression
Mean Math
Expression
or Equation
Basic Algebra
Expressions
What Does an Expression
Look Like
An Algebraic
Expression Problem
Constant in Algebraic
Expression
Expression
Non Example
What Is an Expression
in Algebra for Kids
Expression
Vs. Function
Simple Math
Expressions
Expression
Science
Expression
of Interest for a Job
معنی
Expression
What Is Expression
in C
What Is
the Difference Between an Expression and Equation
Verbal Expression
Math
WRITTEN
EXPRESSION
Multiplication
Expression
What Is an Expression
in Code
Algebra Expressions
Examples
What Is Expression
Conversion
Algebrac
Expressions
What Is
Idiom
Expression
Mathematics
What Is
a Regular Expression in Programming
Algebraic Expression
Terms
Numerical Expressions
Worksheet
Math Expression
in Words
What Is an Expression
in Math in 3rd Grade
What Is Expression
Equation and Identity
Polynomial
Expression
Expression
Def
The Word
Expression
Explore more searches like What Is Expression Tree
What Is
Gene
Blank
Face
Scared
Face
Man
Face
Animated
Face
Chart
Drawing
Drawing
Techniques
Shocked
Face
Happy
Face
Sad
Face
Eukaryotic
Gene
Female
Distain
DNA
Gene
Disgusted
Face
Interest Letter
Sample
Angry
Face
Grimace
Face
Your
Face
Cheat
Sheet
Vector
Art
Clip
Art
Drawing
ClipArt
Protective
Gleam
2D
Face
Face
Images
Tipsy
Face
Omo
Face
Sheet
Template
Face Portrait
Photography
Joy
Face
Normal
Face
Confused
Face
Funny
Human
Surprised
Face
Panic
Face
Fear
Face
Perfect
Facial
Natural
Facial
Excited
Face
Angry
Meme
Example
Même
Template
PNG
Sheet
Meme
Surprise
Meme
Art
Art
As
Practice
Drawing
Hair
People interested in What Is Expression Tree also searched for
Drawing
Meme
Drawing
Challenge
Annoyed
Anime
Hairpiece
Colours
Cute
Shocked
Gene
Reference
Photos
List
Drawing
Positive
Face
Shock
Facial
Art
60
Emotion
Autoplay all GIFs
Change autoplay and other image settings here
Autoplay all GIFs
Flip the switch to turn them on
Autoplay GIFs
Image size
All
Small
Medium
Large
Extra large
At least... *
Customized Width
x
Customized Height
px
Please enter a number for Width and Height
Color
All
Color only
Black & white
Type
All
Photograph
Clipart
Line drawing
Animated GIF
Transparent
Layout
All
Square
Wide
Tall
People
All
Just faces
Head & shoulders
Date
All
Past 24 hours
Past week
Past month
Past year
License
All
All Creative Commons
Public domain
Free to share and use
Free to share and use commercially
Free to modify, share, and use
Free to modify, share, and use commercially
Learn more
Clear filters
SafeSearch:
Moderate
Strict
Moderate (default)
Off
Filter
What Is
a Math Expression
What Is
a Variable Expression
Expression
Math Example
What Is
Equation and Expression
Expression
Meaning Algebra
Expression
Math Term
What Is
a Mathematical Expression
Math Algebraic
Expression
Algebraic Expression
Definition Math
Numerical Expression
Definition
Expression
Symbol Math
Parts of an
Expression
Expression
V Equation
What Is
Mean in Math
What Is
a Value Expression
Formula vs
Expression
Expression
versus Equation
What Does Expression
Mean Math
Expression
or Equation
Basic Algebra
Expressions
What Does an Expression
Look Like
An Algebraic
Expression Problem
Constant in Algebraic
Expression
Expression
Non Example
What Is an Expression
in Algebra for Kids
Expression
Vs. Function
Simple Math
Expressions
Expression
Science
Expression
of Interest for a Job
معنی
Expression
What Is Expression
in C
What Is
the Difference Between an Expression and Equation
Verbal Expression
Math
WRITTEN
EXPRESSION
Multiplication
Expression
What Is an Expression
in Code
Algebra Expressions
Examples
What Is Expression
Conversion
Algebrac
Expressions
What Is
Idiom
Expression
Mathematics
What Is
a Regular Expression in Programming
Algebraic Expression
Terms
Numerical Expressions
Worksheet
Math Expression
in Words
What Is an Expression
in Math in 3rd Grade
What Is Expression
Equation and Identity
Polynomial
Expression
Expression
Def
The Word
Expression
768×1024
scribd.com
Expression Tree | PDF
2000×1420
cswonders.com
Expressiontree Tutorial
960×720
csveda.com
Expression Tree - CSVeda
960×720
csveda.com
Expression Tree - CSVeda
Related Products
Expression Books
Artistic Expression Supplies
Facial Expressions Poster
1200×600
github.com
GitHub - maxperryg/Expression-Tree: ExpressionTree class constructs an ...
548×596
techiedelight.com
Construction of an expression tree | Techi…
3400×2380
scaler.in
Expression Tree - Scaler Blog
3400×1488
scaler.in
Expression Tree - Scaler Blog
3400×1972
scaler.in
Expression Tree - Scaler Blog
3400×1484
scaler.in
Expression Tree - Scaler Blog
Explore more searches like
What Is
Expression
Tree
What Is Gene
Blank Face
Scared Face
Man Face
Animated Face
Chart Drawing
Drawing Techniques
Shocked Face
Happy Face
Sad Face
Eukaryotic Gene
Female Distain
3400×1383
scaler.in
Expression Tree - Scaler Blog
3400×1849
scaler.in
Expression Tree - Scaler Blog
3400×1639
scaler.in
Expression Tree - Scaler Blog
6000×1234
scaler.com
Expression Tree - Scaler Topics
2100×1162
favtutor.com
Expression Tree in C++ (Construction with Example) | FavTutor
2099×560
favtutor.com
Expression Tree in C++ (Construction with Example) | FavTutor
785×400
favtutor.com
Expression Tree in C++ (Construction with Example) | FavTutor
432×532
dengking.github.io
Introduction - compiler-princi…
259×145
linkedin.com
Expression Tree
620×417
krivalar.com
Data Structures - Expression Tree
768×427
educba.com
Expression Tree in Data Structure: Applications & Examples
507×454
researchgate.net
2. Expression Tree (ET) | Download Scientific Diagram
518×482
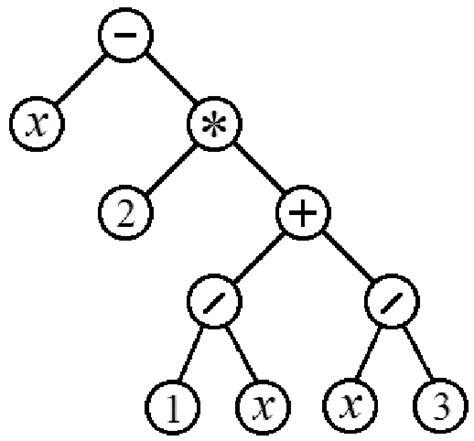
researchgate.net
The expression tree sample. | Download Scientific Diagram
850×657
storage.googleapis.com
Tree Expression Examples at Erminia Heavner blog
1072×849
storage.googleapis.com
Tree Expression Examples at Erminia Heavner blog
People interested in
What Is
Expression
Tree
also searched for
Drawing Meme
Drawing Challenge
Annoyed Anime
Hairpiece Colours
Cute Shocked
Gene
Reference Photos
List Drawing
Positive Face
Shock Facial
Art
60 Emotion
850×570
researchgate.net
Gene expression in expression tree form | Download Scientific Diagram
406×306
codingninjas.com
Expression Tree in Data Structure - Coding Ninjas
512×365
techgeekbuzz.com
Construction of an Expression Tree
800×400
techgeekbuzz.com
Construction of an Expression Tree
317×147
naukri.com
Expression Tree in Data Structure - Naukri Code 360
446×227
naukri.com
Expression Tree in Data Structure - Naukri Code 360
431×431
researchgate.net
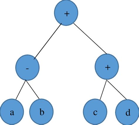
Example Expression Tree. | Download Scient…
850×437
researchgate.net
Expanded Expression Tree. | Download Scientific Diagram
547×357
krivalar.com
Data Structures - Expression Tree
1086×214
reference.wolfram.com
ExpressionTree—Wolfram Documentation
Some results have been hidden because they may be inaccessible to you.
Show inaccessible results
Report an inappropriate content
Please select one of the options below.
Not Relevant
Offensive
Adult
Child Sexual Abuse
Feedback