D'fhéadfaí na grianghraif a chuir tú ar fáil a úsáid chun seirbhísí Bing phróiseáil íomhánna a fheabhsú.
Polasaí príobháideachais
|
Téarmaí Úsáide
Ní féidir an nasc seo a úsáid. Seiceáil go dtosaíonn do nasc le 'http://' nó 'https://' chun triail eile a bhaint as.
Ní féidir an cuardach seo a phróiseáil. Bain triail as íomhá nó as eochairfhocail eile.
Bain triail as Cuardach Amharc
Cuardaigh, aithin oibiachtaí agus téacs, aistrigh nó réitigh fadhbanna le híomhá
Tarraing íomhá amháin nó níos mó anseo,
uaslódáil íomhá
nó
oscail an ceamara
Scaoil íomhánna anseo chun do chuardach a thosú
Chun Cuardach Físiúil a úsáid, cumasaigh an ceamara sa bhrabhsálaí seo
日本語
Gach rud
Cuardach
Íomhánna
Inspioráid
Cruthaigh
Bailiúcháin
Físeáin
Mapaí
Nuacht
Tuilleadh
Siopadóireacht
Eitiltí
Taisteal
Nótaleabhar
Uathsheinn gach GIFanna
Athraigh uathsheinn agus socruithe íomhá eile anseo
Uathsheinn gach GIFanna
Smeach an lasc chun iad a chasadh air
GIFanna uathsheachadta
Méid íomhá
Gach ceann
Beag
Meánach
Mór
Ollmhór
Ar a laghad... *
Leithead Saincheaptha
x
Airde Saincheaptha
px
Iontráil uimhir do Leithead agus Airde
Dath
Gach ceann
Dath amháin
Dubh & bán
Cineál
Gach ceann
Grianghraf
Fáisc-ealaín
Líníocht le líne
GIF beochana
Trédhearcach
Leagan amach
Gach ceann
Cearnóg
Leathan
Ard
Daoine
Gach ceann
Aghaidheanna amháin
Ceann &barainní
Dáta
Gach ceann
Le 24 uair an chloig anuas
Le seachtain anuas
Le mí anuas
Le bliain anuas
Ceadúnas
Gach ceann
Gach Creative Commons
Fearann poiblí
Saor in aisce le comhroinnt agus úsáid
Saor in aisce a roinnt agus a úsáid ar bhonn tráchtála
Saor in aisce chun rudaí a mhionathrú, a chomhroinnt agus a úsáid
Saor in aisce chun rudaí a mhionathrú, a chomhroinnt agus a úsáid ar bhonn tráchtála
Tuilleadh faisnéise
Scagairí a ghlanadh
SafeSearch:
Meánach
Docht
Measartha (réamhshocraithe)
As
Scag
1200×595
cigam.com.br
Arquivo:Formulas.png - CIGAM WIKI
1200×342
cigam.com.br
Arquivo:Formulas102.png - CIGAM WIKI
1280×800
zeroexp.dev
Applying Formulas and Functions in Excel Using PHP - ZeroExp.Dev
1304×1018
formulasexplicadas.com
Rectas
977×1050
fity.club
Geometric Formulas For Circles Plane And Solid Geometry Formulas
849×1200
esenciasyformulas.com.mx
Esencias, Fórmulas y Estabilizantes de Sa…
821×968
ar.inspiredpencil.com
Geometry Formulas Cheat Sheet
1099×541
ar.inspiredpencil.com
Geometry Formulas Cheat Sheet
799×1058
ar.inspiredpencil.com
Geometry Formulas Chea…
1080×1080
montink.com
T-Shirt Classic T-Shirt Fórmulas Ma…
430×291
dynamiccourseware.org
Formulas practice | DynamicCourseware.org
660×240
Stack Overflow
php - Formulas to Calculate Geo Proximity - Stack Overflow
1000×1008
www.facebook.com
Xcel - Akala ng iba, pang-encode lang …
800×320
php.cn
How can I evaluate mathematical formulas in Go?-Golang-php.cn
787×614
php.cn
How to disable modification of Excel formulas?-Office …
708×646
php.cn
A simple way to enter conditional probabilit…
614×366
php.cn
how to lock formulas in excel but allow data entry-Office Software-ph…
800×320
php.cn
What are the WPS summation formulas?-excel-php.cn
905×422
php.cn
The Ultimate Guide to Excel Formulas to Get Sheet Names-Office Software ...
860×281
edunet.learn.ac.lk
Formulas | EduNET.LK@LEARN
996×367
chegg.com
Solved please show on ecel using formulas | Chegg.com
2940×1912
chegg.com
Solved Please provide the excel formulas for each question!! | Chegg.com
1200×1200
www.facebook.com
Genslab - 🔬 Especialízate con el 𝗗𝗶𝗽𝗹𝗼𝗺𝗮𝗱𝗼 𝗲𝗻 𝗜𝗻𝗱𝘂𝘀𝘁𝗿𝗶𝗮 𝗖𝗼𝘀𝗺𝗲́𝘁𝗶𝗰𝗮, una ...
940×788
edunet.learn.ac.lk
Formulas | EduNET@LEARN
1920×1080
virtuami.izt.uam.mx
Resumen de Mecánica Elemental II (Galdámez)
378×150
learn.endeavour.edu.au
Summary of CMHB212 T1 LS 2025 Chinese Dietetics and Herbal For…
1024×1024
kampus.umcs.pl
RepMat2025 | Wirtualny Kampus
1024×1024
edu.ge.ch
MA1132 -- 22-23 | Moodle Apprentissage
1000×1000
bhk.vn
10 Hàm Date Formulas Cơ Bản Trong Power BI DAX - BHK
1024×1024
edu.ge.ch
1ch.dubs | Moodle Apprentissage
1414×2000
edisciplinas.usp.br
BAF0234-2022: A lógica por trás d…
824×379
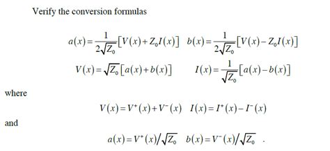
chegg.com
Solved Verify the conversion formulas | Chegg.com
10508×2079
hoduacademy.com
Hodu Academy: IGCSE Physics Formulas & Key Facts | Hodu Academy
1069×1230
japsonline.com
Determining antihypertensive herb…
925×399
japsonline.com
Factors influencing high-performance liquid chromatography for piperine ...
Tá roinnt torthaí folaithe toisc go bhfuil seans ann nach bhfuil siad inrochtana agat.
Taispeáin torthaí dorochtana
Tuairiscigh inneachar mí-oiriúnach
Roghnaigh ceann de na roghanna thíos.
Neamhábhartha
Maslach
Duine fásta
Mí-Úsáid Ghnéasach Leanaí
Aiseolas